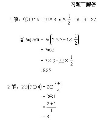
四年級奧數講義上:定義新運算習題解答








奧數 > 小學資源庫 > 奧數練習題 > 四年級奧數 > 定義新運算 > 正文
2011-10-18 17:49:21 下載試卷
四年級奧數講義上:定義新運算習題解答








來源:奧數網整理 作者:奧數網編輯
| 星期日 | 星期一 | 星期二 | 星期三 | 星期四 | 星期五 | 星期六 |
|---|---|---|---|---|---|---|
| 27 | 28 | 29 | 30 | 1 填數 |
2 填數 |
3 數一數 |
| 4 數一數 |
5 一筆畫 |
6 枚舉法 |
7 嘗試法 |
8 最短路線 |
9 火柴棒 |
10 火柴棒 |
| 11 火柴棒 |
12 火柴棒 |
13 火柴棒 |
14 火柴棒 |
15 火柴棒 |
16 年齡問題 |
17 年齡問題 |
| 18 年齡問題 |
19 年齡問題 |
20 年齡問題 |
21 年齡問題 |
22 年齡問題 |
23 邏輯問題 |
24 邏輯問題 |
| 25 應用題 |
26 邏輯問題 |
27 邏輯問題 |
28 平均數 |
29 平均數 |
30 平均數 |
31 平均數 |
| 星期日 | 星期一 | 星期二 | 星期三 | 星期四 | 星期五 | 星期六 |
|---|---|---|---|---|---|---|
| 1 智力題 |
2 智力題 |
3 算式謎 |
4 算式謎 |
5 應用題 |
6 應用題 |
7 圖形分割 |
| 8 數字謎 |
9 應用題 |
10 排隊問題 |
11 邏輯推理 |
12 應用題 |
13 計算 |
14 排隊問題 |
| 15 排隊問題 |
16 排隊問題 |
17 排隊問題 |
18 排隊問題 |
19 排隊問題 |
20 排隊問題 |
21 植樹問題 |
| 22 植樹問題 |
23 植樹問題 |
24 植樹問題 |
25 植樹問題 |
26 找規律 |
27 找規律 |
28 找規律 |
| 29 找規律 |
30 找規律 |
31 找規律 |
1 | 2 | 3 | 4 |
| 星期日 | 星期一 | 星期二 | 星期三 | 星期四 | 星期五 | 星期六 |
|---|---|---|---|---|---|---|
| 29 | 30 | 31 | 1 枚舉法 |
2 嘗試法 |
3 最短路線 |
4 等量代換 |
| 5 植樹問題 |
6 應用題 |
7 火柴棒 |
8 火柴棒 |
9 火柴棒 |
10 火柴棒 |
11 火柴棒 |
| 12 火柴棒 |
13 火柴棒 |
14 年齡問題 |
15 年齡問題 |
16 年齡問題 |
17 年齡問題 |
18 年齡問題 |
| 19 年齡問題 |
20 年齡問題 |
21 應用題 |
22 智力題 |
23 優化問題 |
24 應用題 |
25 找規律 |
| 26 應用題 |
27 找規律 |
28 巧算 |
1 | 2 | 3 | 4 |
| 星期日 | 星期一 | 星期二 | 星期三 | 星期四 | 星期五 | 星期六 |
|---|---|---|---|---|---|---|
| 26 | 27 | 28 | 1 趣味題 |
2 趣味題 |
3 趣味題 |
4 趣味題 |
| 5 趣味題 |
6 趣味題 |
7 趣味題 |
8 思維邏輯 |
9 思維邏輯 |
10 思維邏輯 |
11 思維邏輯 |
| 12 思維邏輯 |
13 思維邏輯 |
14 思維邏輯 |
15 行程問題 |
16 行程問題 |
17 行程問題 |
18 行程問題 |
| 19 行程問題 |
20 行程問題 |
21 行程問題 |
22 應用題 |
23 應用題 |
24 應用題 |
25 應用題 |
| 26 應用題 |
27 應用題 |
28 應用題 |
29 平均數 |
30 枚舉法 |
31 周期問題 |
1 |
| 星期日 | 星期一 | 星期二 | 星期三 | 星期四 | 星期五 | 星期六 |
|---|---|---|---|---|---|---|
| 26 | 27 | 28 | 29 | 30 | 31 | 1 周期問題 |
| 2 火柴棒 |
3 應用題 |
4 找規律 |
5 周期問題 |
6 應用題 |
7 邏輯問題 |
8 填算符 |
| 9 數獨 |
10 計數 |
11 推理 |
12 周期問題 |
13 數獨 |
14 找規律 |
15 植樹問題 |
| 16 計數 |
17 計數 |
18 植樹問題 |
19 數一數 |
20 應用題 |
21 自然數串 |
22 數一數 |
| 23 應用題 |
24 還原問題 |
25 圖形變變變 |
26 邏輯推理 |
27 填數字 |
28 有余除法 |
29 周期問題 |
| 30 歸一問題 |
1 | 2 | 3 | 4 | 5 | 6 |
| 星期日 | 星期一 | 星期二 | 星期三 | 星期四 | 星期五 | 星期六 |
|---|---|---|---|---|---|---|
| 30 | 1 應用題 |
2 應用題 |
3 應用題 |
4 應用題 |
5 應用題 |
6 應用題 |
| 7 應用題 |
8 付錢的方法 |
9 付錢的方法 |
10 付錢的方法 |
11 付錢的方法 |
12 付錢的方法 |
13 付錢的方法 |
| 14 摸彩球 |
15 摸彩球 |
16 摸彩球 |
17 摸彩球 |
18 摸彩球 |
19 巧算速算 |
20 巧算速算 |
| 21 巧算速算 |
22 天平平衡 |
23 合理分組 |
24 合理分組 |
25 合理分組 |
26 合理分組 |
27 合理分組 |
| 28 找規律 |
29 找規律 |
30 找規律 |
31 找規律 |
1 | 2 | 3 |
| 星期日 | 星期一 | 星期二 | 星期三 | 星期四 | 星期五 | 星期六 |
|---|---|---|---|---|---|---|
| 28 | 29 | 30 | 31 | 1 巧算 |
2 應用題 |
3 應用題 |
| 4 應用題 |
5 應用題 |
6 找規律 |
7 找規律 |
8 數一數 |
9 移多補少 |
10 植樹問題 |
| 11 植樹問題 |
12 數字謎 |
13 數字謎 |
14 整式加減 |
15 整式加減 |
16 應用題 |
17 應用題 |
| 18 簡單推理 |
19 簡單推理 |
20 年齡問題 |
21 年齡問題 |
22 火柴棒 |
23 火柴棒 |
24 找規律 |
| 25 找規律 |
26 還原問題 |
27 還原問題 |
28 計算 |
29 計算 |
30 計算 |
1 |
| 星期日 | 星期一 | 星期二 | 星期三 | 星期四 | 星期五 | 星期六 |
|---|---|---|---|---|---|---|
| 25 | 26 | 27 | 28 | 29 | 30 | 1 應用題 |
| 2 應用題 |
3 應用題 |
4 應用題 |
5 應用題 |
6 應用題 |
7 應用題 |
8 數數與計數 |
| 9 數數與計數 |
10 數數與計數 |
11 數數與計數 |
12 數數與計數 |
13 行程問題 |
14 觀察數列 |
15 寫數列 |
| 16 等差數列 |
17 周期問題 |
18 找規律 |
19 找規律 |
20 找規律 |
21 填數字 |
22 等量代換 |
| 23 等量代換 |
24 等量代換 |
25 等量代換 |
26 等量代換 |
27 逆序推理法 |
28 逆序推理法 |
29 逆序推理法 |
| 30 逆序推理法 |
31 逆序推理法 |
1 | 2 | 3 | 4 | 5 |
| 星期日 | 星期一 | 星期二 | 星期三 | 星期四 | 星期五 | 星期六 |
|---|---|---|---|---|---|---|
| 30 | 31 | 1 應用題 |
2 邏輯思維 |
3 排隊問題 |
4 年齡問題 |
5 火柴棒問題 |
| 6 邏輯問題 |
7 邏輯問題 |
8 應用題 |
9 邏輯問題 |
10 填算符 |
11 應用題 |
12 年齡問題 |
| 13 應用題 |
14 應用題 |
15 應用題 |
16 應用題 |
17 應用題 |
18 應用題 |
19 應用題 |
| 20 火柴棒問題 |
21 報數 |
22 數字游戲 |
23 填符號 |
24 想一想 |
25 想一想 |
26 應用題 |
| 27 速算 |
28 速算 |
29 速算 |
30 數一數 |
31 應用題 |
1 | 2 |
| 星期日 | 星期一 | 星期二 | 星期三 | 星期四 | 星期五 | 星期六 |
|---|---|---|---|---|---|---|
| 27 | 28 | 29 | 30 | 31 | 1 火柴棒 |
2 火柴棒 |
| 3 火柴棒 |
4 火柴棒 |
5 火柴棒 |
6 火柴棒 |
7 火柴棒 |
8 年齡問題 |
9 年齡問題 |
| 10 年齡問題 |
11 年齡問題 |
12 年齡問題 |
13 年齡問題 |
14 年齡問題 |
15 植樹問題 |
16 植樹問題 |
| 17 植樹問題 |
18 植樹問題 |
19 植樹問題 |
20 植樹問題 |
21 植樹問題 |
22 思維邏輯 |
23 思維邏輯 |
| 24 思維邏輯 |
25 思維邏輯 |
26 思維邏輯 |
27 找規律 |
28 找規律 |
29 找規律 |
30 找規律 |

歡迎掃描二維碼
關注奧數網微信
ID:aoshu_2003

歡迎掃描二維碼
關注中考網微信
ID:zhongkao_com